The calculation of the relative prediction variance for a designed experiment is provided below. Consider the following notation:
X
Model matrix. See “Model Matrix”. Custom designs provide a script that shows the model matrix. See “Save X Matrix”.
σ2
Error variance.

Vector of least squares estimates of the parameters.

The ith row of X.
Using this notation, the predicted response for the ith row of X is given by the following equation:

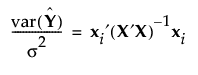
The variance of the prediction for ith row of X is given by the following equation:

and the relative prediction variance is given by the following equation:
