Use the Power for Two Independent Sample Variances Explorer to determine a sample size for a hypothesis test for variances from two groups. Select DOE > Sample Size Explorers > Power > Power for Two Independent Sample Variances. Explore the trade offs between sample size, power, significance, and the hypothesized difference to detect. Sample size and power are associated with the following hypothesis test:

versus the two-sided alternative:

or versus a one-sided alternative:
or 
where σ12 is the variance for Group 1 and σ22 is the variance for Group 2. The difference to detect is an amount away from σ22 that one considers as important to detect based on a set of samples. This difference is expressed as the ratio of your variances. For the same significance level and power, a larger sample size is needed to detect a small difference in variances than to detect a large difference. It is assumed that the populations of interest are normally distributed.
Set study assumptions and explore sample sizes using the radio buttons, text boxes, and menus. The profiler updates as you make changes to the settings. Alternatively, change settings by dragging the cross hairs on the profiler curves.
Test Type
Specifies a one or two-sided hypothesis test.
Preliminary Information
Alpha
Specifies the probability of a type I error, which is the probability of rejecting the null hypothesis when it is true. It is commonly referred to as the significance level of the test. The default alpha level is 0.05.
The profiler enables you to visualize the impact of sample size assumptions on the power calculations.
Total Sample Size
Specifies the total number of observations (runs, experimental units, or samples) needed for your experiment. Select Lock to lock the total sample size.
Solve for
Enables you to solve for a sample size or the variance ratio.
Group 1 Sample Size
Specifies the number of observations (runs, experimental units, or samples) needed for Group 1 in your experiment.
Group 2 Sample Size
Specifies the number of observations (runs, experimental units, or samples) needed for Group 2 in your experiment.
Variance Ratio
Specifies the ratio of the variances (Group 2/Group 1).
Note: Adjusting the sample size for one group adjusts the total sample size unless the total sample size is locked. In that case, adjusting the sample size for one group adjust the sample size for the second group. Use the text boxes to specify group sample sizes.
The Explorer red triangle menu and report buttons provide additional options:
Simulate Data
Opens a data table of simulated data based on the explorer settings. View the simulated response column formula for the settings used.
Make Data Collection Table
Creates a new data table that you can use for data collection. The table includes scripts to facilitate data analysis.
Save Settings
Saves the current settings to the Saved Settings table. This enables you to save a set of alternative study plans. See Saved Settings in the Sample Size Explorers.
Reset to Defaults
Resets all parameters and graphs to their default settings.
Help
Opens JMP on line help.
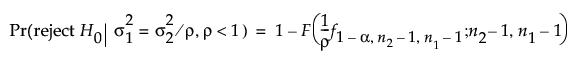
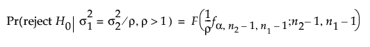
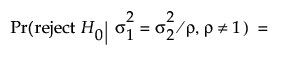
The power calculations for testing the ratio of variances from two sample groups is based on the standard F test. The calculations depend on the form of the alternative hypothesis.
For a one-sided, higher alternative (σ12 > σ22):

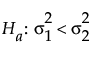
For a one-sided, lower alternative (σ12 < σ22):

For a two-sided alternative (σ12 ≠ σ22):


where:
α is the significance level
n1 and n2 are the group sample sizes
ρ = σ22/σ12
f1-α,ν1,ν2 is the (1 - α)th quantile of an F distribution with ν1 and ν2 degrees of freedom.
F(x, ν) is the cumulative distribution function of an F distribution with ν degrees of freedom.