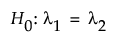
Use the Power for Two Independent Sample Counts per Unit Explorer to determine a sample size for a test of count per unit between two groups. Select DOE > Sample Size Explorers > Power > Power for Two independent Sample Counts per Unit. Explore the trade offs between variability assumptions, sample size, power, and significance. Sample size and power are associated with the following hypothesis test:

versus the two-sided alternative:

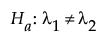
or versus a one-sided alternative:
or 
where λ1 and λ2 the are the rates of the counts per unit for each group.
Set study assumptions and explore sample sizes using the radio buttons, text boxes, and menus. The profiler updates as you make changes to the settings. Alternatively, change settings by dragging the cross hairs on the profiler curves.
Test Type
Specifies a one or two-sided hypothesis test.
Preliminary Information
Alpha
Specifies the probability of a type I error, which is the probability of rejecting the null hypothesis when it is true. It is commonly referred to as the significance level of the test. The default alpha level is 0.05.
The profiler enables you to visualize the impact of sample size assumptions on the power calculations.
Total Sample Size
Specifies the total number of observations (runs, experimental units, or samples) needed for your experiment. Select Lock to lock the total sample size
Solve for
Enables you to solve for a sample size, r counts per unit in Group 1, the assumed counts per unit ratio, or the alternative counts per unit ratio.
Power
Specifies the probability of rejecting the null hypothesis when it is false. With all other parameters fixed, power increases as sample size increases.
Group 1 Sample Size
Specifies the number of units needed for Group 1 in your experiment.
Group 2 Sample Size
Specifies the number of units needed for Group 2 in your experiment.
Group 1 Counts per Unit
Specifies the assumed Group 1 counts per unit. The assumed Group 2 counts per unit is specified by the Group 1 counts per unit and the ratio to detect.
Assumed Counts per Unit Ratio
Specifies the assumed ratio (λ1) of Group 2 to Group 1 counts per unit.
Alternative Counts per Unit Ratio
Specifies the alternative ratio (λ2) of Group 2 to Group 1 counts per unit.
The Explorer red triangle menu and report buttons provide additional options:
Simulate Data
Opens a data table of simulated data based on the explorer settings. View the simulated response column formula for the settings used.
Make Data Collection Table
Creates a new data table that you can use for data collection. The table includes scripts to facilitate data analysis.
Save Settings
Saves the current settings to the Saved Settings table. This enables you to save a set of alternative study plans. See Saved Settings in the Sample Size Explorers.
Reset to Defaults
Resets all parameters and graphs to their default settings.
Help
Opens JMP on line help.
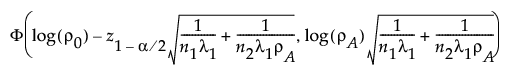
The power calculations for testing two independent sample counts using the ratio of defect counts per units is based on the asymptotic normal distribution of the ratio of Poisson rates. See Gu, et al. (2008), Li, et al. (2013), or Mathews (2010).
For the one-sided lower alternative:


For the one-sided upper alternative:


For a two-sided alternative:



where:
α is the significance level
n1 and n2 are the group sample sizes
ρ0 is the assumed ratio between the group defect rates
ρA is the alternative ratio between the group defect rates
λ1 is the assumed rate for Group 1
z1-α is the (1 - α)th quantile of the normal distribution
Φ(x) is the cumulative distribution function of the normal distribution.