Use the Counts per Unit Calculator to evaluate sample size for a hypothesis test about the defects (counts) per unit. Select DOE > Sample Size Explorers > Power > Power for One Sample Counts per Unit. Explore the trade offs between sample size, significance, and the power of your test. Sample size and power are associated with the following hypothesis test:

versus the two-sided alternative:

or versus a one-sided alternative:
or 
where λ is the rate of counts per unit.
Set study assumptions and explore sample sizes using the radio buttons, text boxes, and menus. The profiler updates as you make changes to the settings. Alternatively, change settings by dragging the cross hairs on the profiler curves.
Test Type
Specifies a one or two-sided hypothesis test.
Preliminary Information
Alpha
Specifies the probability of a type I error, which is the probability of rejecting the null hypothesis when it is true. It is commonly referred to as the significance level of the test. The default alpha level is 0.05.
The profiler enables you to visualize the impact of sample size assumptions on the power calculations.
Solve for
Enables you to solve for sample size, ratio to detect, or assumed counts per unit.
Power
Specifies the probability of rejecting the null hypothesis when it is false. With all other parameters fixed, power increases as sample size increases.
Sample Size
Specifies the number of observations (runs, experimental units, or samples) needed for your experiment.
Ratio to detect
Specifies the ratio of counts per unit to detect (assumed/alternative).
Assumed Counts per Unit
Specifies the assumed counts per unit.
The Explorer red triangle menu and report buttons provide additional options:
Simulate Data
Opens a data table of simulated data based on the explorer settings. View the simulated response column formula for the settings used.
Make Data Collection Table
Creates a new data table that you can use for data collection. The table includes scripts to facilitate data analysis.
Save Settings
Saves the current settings to the Saved Settings table. This enables you to save a set of alternative study plans. See Saved Settings in the Sample Size Explorers.
Reset to Defaults
Resets all parameters and graphs to their default settings.
Help
Opens JMP on line help.
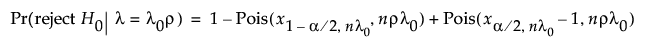
Power calculations for the counts per unit calculator are based on the exact test for a Poisson λ. Calculations are based on the form of the alternative hypothesis.
For a one-sided, higher alternative (λ > λ0):

for a one-sided, lower alternative (λ < λ0):

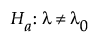
for a two-sided alternative (λ ≠ λ0):

where:
α is the significance level
n is the sample size
λ0 is the assumed rate of defect counts per unit
ρ=λ/λ0
Pois(., λ) is the distribution function of a Poisson distribution with rate parameter λ.