For the latest version of JMP Help, visit JMP.com/help.


Publication date: 02/06/2025

Power for a Categorical Effect

This section describes how power for the test for a whole categorical design effect is computed. Use the following notation:

X

Model matrix. See The Alias Matrix.

Equation shown here

Vector of parameters.

Equation shown here

Least squares estimate of β.

Equation shown here

Vector of Anticipated Coefficient values.

Equation shown here

Matrix that defines the test for the categorical effect. The matrix L identifies the values of the parameters in β corresponding to the categorical effect and sets them equal to 0. The null hypothesis for the test of the categorical effect is given by:

Equation shown here

r

Rank of L. Alternatively, r is the number of levels of the categorical effect minus one.

Note: You can view the design matrix by running Fit Model. Then select Save Columns > Save Coding Table from the red triangle menu for the main report.

The covariance matrix of Equation shown here is given by Equation shown here, where σ2 is the error variance.

The error variance, σ2, is estimated by the MSE, and has n p 1 degrees of freedom, where n is the number of observations and p is the number of terms other than the intercept in the model. If n p 1 = 0, then JMP sets the degrees of freedom for the error to 1. This allows the power to be estimated for parameters in a saturated design.

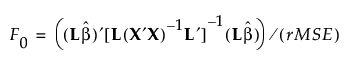
The test of Equation shown here is given by the following equation:

Equation shown here

Under the null hypothesis, the test statistic F0 has an F distribution on r and n p 1 degrees of freedom.

If the true value of β is Equation shown here, then F0 has a noncentral F distribution with noncentrality parameter given by the following equation:

Equation shown here

To compute the power of the test, first solve for the α-level critical value Fc:

Equation shown here

Then calculate the power as follows:

Equation shown here

Want more information? Have questions? Get answers in the JMP User Community (community.jmp.com).