For the latest version of JMP Help, visit JMP.com/help.


Basic Analysis > Oneway Analysis > Oneway Plot Elements > Mean Diamonds and X-Axis Proportional
Publication date: 02/06/2025

Mean Diamonds and X-Axis Proportional

In the Oneway platform, the horizontal axis defaults to a proportional axis. That is, the spacing of the group levels is proportional to the number of data points in each group. The mean diamond display options, or the ANOVA test, adds mean diamonds to the Oneway plot. A mean diamond shows the sample mean and confidence interval for a level of the X variable.

Figure 6.6 Mean Diamonds and X-Axis Proportional Options 

Mean Diamonds and X-Axis Proportional Options

Mean Diamond Details

The top and bottom of each diamond span the (1-alpha)x100 confidence interval for the mean of each group. The confidence interval computation assumes that the variances are equal across observations. Therefore, the height of the diamond is proportional to the reciprocal of the square root of the number of observations in the group.

If the X-Axis proportional option is selected, the horizontal extent of each group along the horizontal axis (the horizontal size of the diamond) is proportional to the sample size for each level of the X variable. Therefore, the narrower diamonds are usually taller, because fewer data points results in a wider confidence interval estimates.

The mean line across the middle of each diamond is drawn at the group mean.

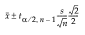
The lines near the top and bottom of the diamonds are overlap marks. For groups with equal sample sizes, diamonds that overlap within the overlap marks indicate that the two group means are not significantly different at the given confidence level. Overlap marks are computed as follows:

Equation shown here

Comparing the upper overlap mark of one group with the lower overlap mark of a second group with equal sample sizes, assuming equal variance, is equivalent to running a two group t-test.

The mean diamonds are added to the Oneway plot when you select the Means/Anova/Pooled t or Means/Anova option from the platform menu. However, you can show or hide them at any time by selecting Display Options > Mean Diamonds from the red triangle menu.

Want more information? Have questions? Get answers in the JMP User Community (community.jmp.com).