Use the Margin of Error for One Sample Proportion to determine a sample size for a confidence interval. Select DOE > Sample Size Explorers > Confidence Intervals > Margin of Error for One Sample Proportion. Explore the trade offs between the assumed proportion, sample size, significance, and the margin of error for your interval. Calculations use score confidence intervals. Score confidence intervals are not symmetric.
Caution: Use caution if your goal is to size a study to achieve a specific lower or upper confidence limit. The margin of error is half the width of the interval. Score confidence intervals are not symmetric. An assumed proportion of 0.5 plus and minus the margin of error corresponds to lower and upper limits of the confidence interval. As the assumed proportion moves away from 0.5, the assumed proportion plus and minus the margin of error differs from the lower and upper limits of the confidence interval.
Set study assumptions and explore sample sizes using the radio buttons, text boxes, and menus. The profiler updates as you make changes to the settings. Alternatively, change settings by dragging the cross hairs on the profiler curves.
Interval Type
One-sided
Specifies a one-side of the interval (upper or lower bound)
Two-sided
Specifies a two-sided interval.
Preliminary Information
Alpha
Specifies the confidence level, 1 - Alpha. The default alpha level is 0.05 for a 95% confidence interval.
The profiler enables you to visualize the impact of sample size assumptions on the margin of error calculations.
Solve for
Enables you to solve for the sample size or assumed proportion.
Margin of Error
Specifies the half-width of the interval. With all other parameters fixed, margin of error decreases as sample size increases.
Note: Score confidence interval is not symmetric around the point estimate. Thus, the margin of error is not equal on either side of the point estimate.
Sample Size
Specifies the total number of observations (runs, experimental units, or samples) needed to construct your interval.
Proportion
Specifies the assumed proportion for the interval.
The Explorer red triangle menu and report buttons provide additional options:
Simulate Data
Opens a data table of simulated data based on the explorer settings. View the simulated response column formula for the settings used.
Make Data Collection Table
Creates a new data table that you can use for data collection. The table includes scripts to facilitate data analysis.
Save Settings
Saves the current settings to the Saved Settings table. This enables you to save a set of alternative study plans. See Saved Settings in the Sample Size Explorers.
Reset to Defaults
Resets all parameters and graphs to their default settings.
Help
Opens JMP on line help.
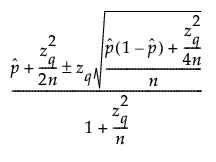
The interval calculations for capturing a population proportion are based on score confidence intervals. See Agresti and Coull(1998). The two-sided score confidence interval has the form

where zq is the q quantile of the standard normal distribution. Use q = 1 - α/2 for a two-sided interval and q = 1 - α for a one-sided interval.
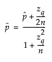
Note that the score interval is not symmetric around the estimate of the proportion, rather it is symmetric around

a weighted average of
and 0.5.