Use the Margin of Error for One Independent Counts per Unit to determine a sample size for a confidence interval. Select DOE > Sample Size Explorers > Confidence Intervals > Margin of Error for One Sample Counts per Unit. Explore the trade offs between sample size, significance, and the margin of error for your interval.
Set study assumptions and explore sample sizes using the radio buttons, text boxes, and menus. The profiler updates as you make changes to the settings. Alternatively, change settings by dragging the cross hairs on the profiler curves.
Interval Type
Lower Bound
Specifies a one-sided lower interval.
Upper Bound
Specifies a one-sided upper interval.
Interval
Specifies a two-sided interval.
Preliminary Information
Alpha
Specifies the confidence level, 1 - Alpha. The default alpha level is 0.05 for a 95% confidence interval.
Counts per Unit
Specifies the assumed counts per unit.
The profiler enables you to visualize the impact of sample size assumptions on the margin of error calculations.
Solve for
Enables you to solve for the sample size.
Bound
(Available when Interval Type is set to Lower or Upper Bound.) Specifies the lower or upper bound on the estimated variance.
Interval Width
(Available only when Interval Type is set to Interval.) Specifies the full width of the interval. With all other parameters fixed, interval width decreases as sample size increases.
Sample Size
Specifies the total number of observations (runs, experimental units, or samples) needed to construct your interval.
The Explorer red triangle menu and report buttons provide additional options:
Simulate Data
Opens a data table of simulated data based on the explorer settings. View the simulated response column formula for the settings used.
Make Data Collection Table
Creates a new data table that you can use for data collection. The table includes scripts to facilitate data analysis.
Save Settings
Saves the current settings to the Saved Settings table. This enables you to save a set of alternative study plans. See Saved Settings in the Sample Size Explorers.
Reset to Defaults
Resets all parameters and graphs to their default settings.
Help
Opens JMP on line help.
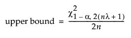
The interval calculations for capturing defect counts per unit is based on the exact method using the Χ2 distribution. Note that the interval bounds are not symmetric around the sample estimate.
The interval width is computed as follows:

The lower bound is computed as follows:

The upper bound is computed as follows:

where:
χ2α,ν is the αth quantile of a central χ2 distribution with ν degrees of freedom
λ is the defect counts per unit
n is the number of samples.