For the latest version of JMP Help, visit JMP.com/help.


Publication date: 02/06/2025

Generation Evaluation Table

The table lists various statistics for each cross:

Cross

This column lists the cross numbers, starting at 1, up to the total of crosses.

Mother Sex

This column lists the sex of the mother in the initial cross. This column name changes according to the name of column entered in the Cross option. In this example, the column name was Sex, so Mother Sex is displayed. It is always Mother + the name of column in the Cross option.

Father Sex

This column lists the sex of the father in the initial cross. This column name changes according to the name of column entered in the Cross option. In this example, the column name was Sex, so Father Sex is displayed. It is always Father + the name of the column in the Cross option.

Generation

This column lists the generation the specific progeny is part of.

Minor Allele Frequency (MAF) Mean

This column shows the average MAF across all markers. The MAF represents the proportion of the minor allele for each marker in the observed population. Assuming a biallelic marker locus M with alleles M1 and M2. A sample of N individuals of even ploidy k can therefore have k + 1 different genotypes at the locus. The number of individuals with i (i = 0, 1, 2, …, k) copies of allele M1 and j (j = 0, 1, 2, …, k) copies of allele M2 is denoted by Nij. The number n1 of copies of allele M1 can be found directly by summation: n1 = 0 × N00 + 1 × N10 + 2 × N20 + … + k × Nk0. The sample frequency of allele M1 is written as p1 = n1 / (k × n), frequency of allele M2 is written as p2 = 1 - p1, and the sample frequency for each genotype carrying u copies of allele M1 and v copies of allele M2 is written as Pij = Nij / n.

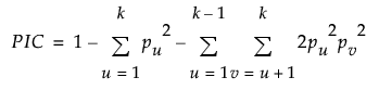
Polymorphism Information Content (PIC) Mean

This column shows the average PIC across all markers. The PIC (Botstein et al., 1980; Hilderbrand, Torney, and Wagner, 1992) measures the probability of differentiating the allele transmitted by a given parent to its child given the marker genotype of father, mother, and child.

Equation shown here

Heterozygosity (HET) Mean

This column shows the average HET across all markers. The heterozygosity, sometimes called the observed heterozygosity, is the proportion of heterozygous individuals in the observed population.

Equation shown here

Allelic Diversity Mean

This column shows the average allelic diversity across all markers. The allelic diversity, sometimes called the expected heterozygosity, is the expected proportion of heterozygous individuals in the data set when Hardy-Weinberg equilibrium holds.

Equation shown here

Pred Formula Trait Mean

This column lists the mean of the predicted trait value for the progeny of each cross at each generation.

Pred Formula Trait Standard Error of Mean

This column lists the standard error of the mean of the predicted trait value for the progeny of each cross at each generation. This value provides a measure of the expected variability.

Want more information? Have questions? Get answers in the JMP User Community (community.jmp.com).