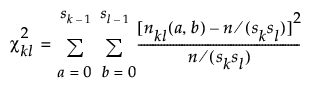
In the Screening Design platform, main effects screening designs use a Chi-square criterion to achieve favorable balance across the factors. Suppose that a design has n runs and p factors corresponding to the columns of the design matrix.
• Denote the levels of factors k and l by a = 0, 1, …, sk-1 −and b = 0, 1, …, sl-1 , respectively.
• Denote the number of times that the combination of levels (a,b) appears in columns k and l by nkl(a,b).
A measure of the lack of orthogonality evidenced by columns k and l is given by the following expression:

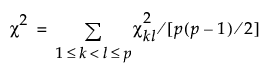
A measure of the average non-orthogonality of the design is given by this expression:

The maximum possible value of χ2, denoted
, is obtained. The chi-square efficiency of a design is defined as follows:

Chi-square efficiency indicates how close χ2 is to zero, relative to a design in which pairs of levels show extreme lack of balance.